AU
  
You are currently viewing the Australia version of the site.
Would you like to switch to your local site?
Latest Issue

British Chess Magazine June 2024 Back Issue

English
33 Reviews   •  English   •   Sport (Other)
Only $9.99
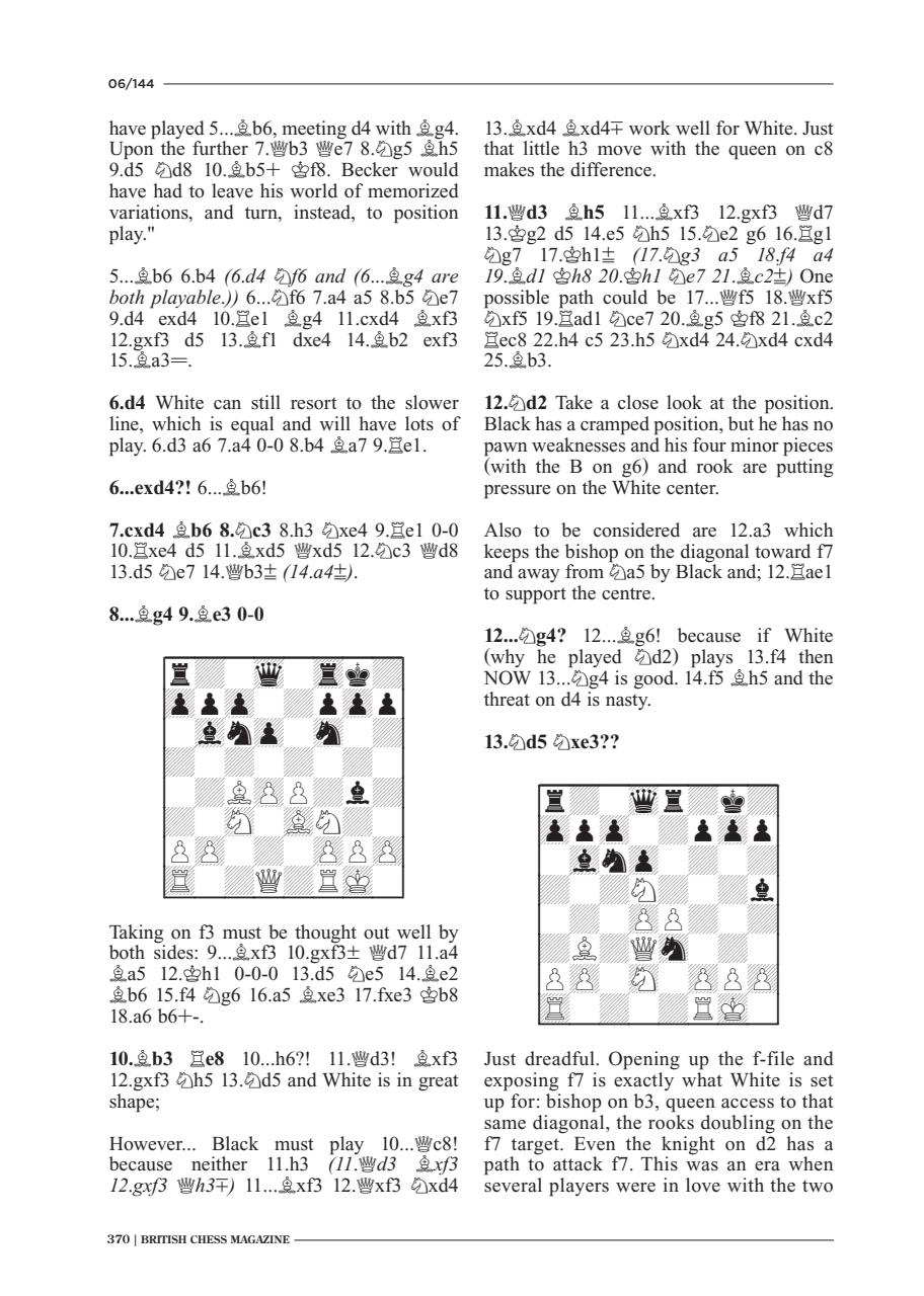
BCM looks a reinventing a chess classic, with a tournament in Casablanca
featuring four top world players, plus, a famous chess master who almost ended up behind bars.
read more read less
British Chess Magazine Preview Pages British Chess Magazine Preview Pages British Chess Magazine Preview Pages British Chess Magazine Preview Pages British Chess Magazine Preview Pages

British Chess Magazine

June 2024 BCM looks a reinventing a chess classic, with a tournament in Casablanca featuring four top world players, plus, a famous chess master who almost ended up behind bars.


SELECT FORMAT:
Instant Access

Available Digital Offers:

Single Digital Back Issue June 2024
 
$9.99 / issue
This issue and other back issues are not included in a British Chess Magazine subscription. Subscriptions include the latest regular issue and new issues released during your subscription and start from as little as $6.67 per issue . If you're looking to subscribe please check out our Subscription Options
Savings are calculated on the comparable purchase of single issues over an annualised subscription period and can vary from advertised amounts. Calculations are for illustration purposes only. Digital subscriptions include the latest issue and all regular issues released during your subscription unless otherwise stated. Your chosen term will automatically renew unless cancelled in the My Account area upto 24 hours before the end of the current subscription.

British Chess Magazine issue June 2024

British Chess Magazine  |  June 2024  


BCM looks a reinventing a chess classic, with a tournament in Casablanca
featuring four top world players, plus, a famous chess master who almost ended up behind bars.
read more read less
British Chess Magazine is the world’s oldest chess journal, published continuously since 1881. It appears monthly and is packed with in depth informative content about the Royal Game. You will find high quality games and analysis, reports on recent tournaments, articles and analysis about openings, interviews with famous players, authoritative and independent book and DVD reviews, instructional articles and regular features on problems and endgames. Articles about famous players present and past reveal the game’s greatest talents and rich history. BCM has a unique focus on the British chess scene while covering major news and events internationally. Readers will enjoy coverage of the important annual Hastings and Gibraltar Masters tournaments and the British Chess Championship.

BCM caters for players of all ages and strengths, from beginners to masters, and features men’s and women’s chess. BCM will help you improve your play and results - check your progress with our regular “Test Your Chess” feature written by our own International Master Shaun Taulbut. You can sharpen and test your attacking skills with our monthly “Spot the Continuation” feature.

BCM helps you find out where to buy chess books and equipment, and great pictures bring BCM to colourful life.BCM is a must read and great choice for players and enthusiasts of all ages and abilities – and makes a great present!

As a subscriber you'll receive the following benefits:


•  A discount off the RRP of your magazine
•  New issues delivered to your device on the day of release
•  You'll never miss an issue
•  You’re protected from price rises that may happen later in the year

You'll receive 12 issues during a 1 year British Chess Magazine magazine subscription.

Note: Digital editions do not include the covermount items or supplements you would find with printed copies.

Your purchase here at Pocketmags.com can be read on any of the following platforms.


You can read here on the website or download the app for your platform, just remember to login with your Pocketmags username and password.

Apple Pocketmags Online Pocketmags Google Pocketmags
The Pocketmags app runs on all iPad and iPhone devices running iOS 13.0 or above, Android 8.0 or above and Fire Tablet (Gen 3) or above. Our web-reader works with any HTML5 compatible browser, for PC and Mac we recommend Chrome or Firefox.

For iOS we recommend any device which can run the latest iOS for better performance and stability. Earlier models with lower processor and RAM specifications may experience slower page rendering and occasional app crashes which are outside of our control.
4.4
/5
Based on 33 Customer Reviews
5
23
4
5
3
2
2
0
1
3
View Reviews

British Chess Magazine

Great as always Reviewed 09 February 2021

British Chess Magazine

One of my favorite magazines. Reviewed 08 February 2021

British Chess Magazine

Excellent magazine...Missing Nick pert's Endgame column or Speelman endgame column; Any chance of a Sadler column
Regards
Reviewed 25 May 2020

British Chess Magazine

thanks Reviewed 08 April 2020

Very entertaining

Really interesting read for all those lovers of chess in Britain and elsewhere Reviewed 12 July 2019

Articles in this issue


Below is a selection of articles in British Chess Magazine June 2024.

Chat
X
Pocketmags Support